実際に建物の耐力や変形機能を明らかにすることは非常に重要である。 ここでは、実際の建物に近いく、また、耐荷力実験も行われている 実験RC架構(コンクリート系構造の部材解析モデル と設計への応用(日本建築学会,p235))のFEMモデルを作成し、 SoftOCUを用いて耐荷力解析を行い、計算値と実験結果の比較検証を行う。
ここで、比較検証を行うプログラムおよび実験値は、下記に示す通りである。
試験体形状を下図に示す。 解析試験体の縮尺は1/2.5のスラブ付き2層1スパン架構試験体である。

図 : 試験体形状
下図に断面形状と鉄筋配置を示す。 本解析では、断面リストのNo2をモデル化し、耐荷力解析を行った。

図 : 断面リスト
下図に、実際に行われた加力装置を示す。 柱には軸力 98kN(σck/7 相当)の初期軸力を与えた状態で R階および2階の梁端部に水平力をAi分布(R階 1 対 2階 1/2 ) となる形で加圧する。

図 : 加圧装置
下表に、コンクリートおよび鉄筋の材料特性値を示す。
表 : 材料の力学特性

ここでは、2012年制定 コンクリート標準示方書「設計編」 P457の2.2.4圧縮応力度下における応力―ひずみ関係を採用した。

図 : 圧縮応力度下における応力―ひずみ関係式
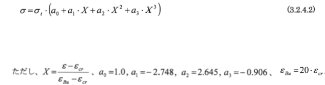
テンションスティフニングを考慮した引張応力度下における応力―ひずみ関係 は、下記の2モデルを準備した。




下図は、解析で使用したコンクリートの応力ひずみ関係のグラフである。

下図にFEMモデルを示す。コンクリート要素はソリッド要素、鉄筋はビーム要素を使用した。 全節点数は、17,996点、全要素数は13201要素 である。

図 : コンクリートFEMモデル

図 : 鉄筋FEMモデル
層せん断力―層間変形関係の実験結果と解析結果の比較を示す。

図 : 層せん断力―層間変形関係(2階部)
2階の層せん断力変位関係において、SoftOCUは実験結果の値と沿った形で 最後まで発散することなくよく解析を行っている。 DIANAの結果については、最大せん断耐力が実験値の示したところで、 解が発散して計算中止。
次に1階の層せん断力―層変形関係を示す

図 : 層せん断力―層間変形関係(1階部)
1階の層せん断力変位関係において、SoftOCUの立ち上がりが実験結果の値 より少し弱い結果となっているが概ね実験値の値をとらえながら最後まで発散 することなく解析を行っている。 DIANAの結果については、実験値の立ち上がりをよくとらえているが、 最大せん断耐力を示したところで、解が発散して計算中止。
以上の比較検討から、SoftOCUは、実構造物の耐荷力試験を解が発散することなく 良好にシミュレーション解析が可能なソフトであることが言える。

図 : 解析手順フロー
| ファイル名 | 説明 |
| RC-Cmodel.nas | RC架構のNastran構造データ(鉄筋含まない) |
| RC-k-bak.nas | RC架構のNastran構造データ(鉄筋も含む) |
| RCpush.xlsx | Soft-OCU解析データ(岡村前川モデル) |
| RCpush2.xlsx | Soft-OCU解析データ(白井モデル) |
| Rcmodel.MOD | RC架構FEMAP標準ファイル |
| Rcmodel2.MOD | RC架構FEMAPファイル(白井モデル結果含む) |
| RCmakeDATA.xlsx | 埋込鉄筋要素作成データ(ocuEXTRAN用) |
| RCmakeDATA.xml | 埋込鉄筋要素XMLファイル |
| doc | その他資料 |